(a-b)^3+(b-c)^3+(c-a)^3=3(a-b)(b-c)(c-a) 302759
And perhaps a, b, c and d should be elements in an array – GManNickG Mar 21 '11 at 214 @Kaleb , it is because for example in c, initialize buildin types does not gain any performance and if the number of class members are big, it will become hard to read and errorpronIf AB =59, BC=38 then ABC ?The Questions and Answers of Prove that(a b)3 (b c)3 (c a)33(a b)(b c)(c a)=2(a3 b3 c33abc)?
Simplify B2 3 B2 C2 3 C2 3 A B 3 B C 3 C A 3 Brainly In
(a-b)^3+(b-c)^3+(c-a)^3=3(a-b)(b-c)(c-a)
(a-b)^3+(b-c)^3+(c-a)^3=3(a-b)(b-c)(c-a)-Chapter 3 CAB ECC and AHA 10 updates changed the CPR sequence from ABC to CAB Often in the ABC method chest compressions were delayed With the new Compressions – Airway – Breathing method a victim receives compressions faster, providing quicker critical blood flow to the vital organsNếu bạn hỏi, bạn chỉ thu về một câu trả lời Nhưng khi bạn suy nghĩ trả lời, bạn sẽ thu về gấp bội!


Misc 13 Using Determinants 3 A B C Ab Ac
はそのホッジ双対がスカラー三重積に等しい3ベクトルである。 幾何学的には3ベクトル a ∧ b ∧ c は a, b, c で張られた平行六面体に対応し、2ベクトル a ∧ b, b ∧ c, a ∧ c は平行六面体の各面をなす平行四辺形に対応する。 ベクトル三重積Question to simplify(a 2b 2) 3 (b 2c 2) 3 (c 2a 2) 3 / (ab) 3 (bc) 3 (ca) 3 Answer Let's solve the numerator first if abc = 0 Then a 3 b 3 c 3 = 3abc Now,(a 2b 2) 3 (b 2c 2) 3 (c 2a 2) 3 = a 2b 2 b 2c 2 c 2a 2 = 0 That means we can use this formula here because abc is coming out to be zeroI will assume that by the natural numbers that you mean the positive integers (as opposed to the nonnegative integers) Observe that a c = 100 2b is an even number
Answer to Leta, b, and C be sets Show thata) (A ∪ B) ⊆ (A ∪ B ∪ C)b) (A ∩ B ∩ C) ⊆ (A ∩ B)c) (A – b) Consider that are sets (a) Objective is to show that Consider the left hand side expression as,Bài 3 Ta có \(a^2b^2c^2=3\ge abbcca\) ( tự cm bđt nha ) Áp dụng bất đẳng thức Schwarz ta có \(\dfrac{a^3}{bc}\dfrac{b^3}{ca}\dfrac{c^3}{ab37k views asked Mar 1, 19 in Mathematics by Daisha ( 706k points) If matrix A = (a, b, c), (b, c, a), (c, a, b), where a, b, c are real positive number abc = 1 and A T A = I, then find the value of a 3 b 3 c 3
Expert Tutors on UrbanProcom⇒ a 3 b 3 c 3 3abc = ( a b c ) ( a 2 b 2 c 2) ( ab bc ca ) Now we substitute values from equation A , B , C and 1 , and getThe only appropriate response I can think of is how to interpret the exponent Any parentheses raised to the nth power means you have to rewrite that expression n times and then multiply them all In this case the exponent is just 2, so we rewri


Factorise A B 3 B C 3 C A 3 Thanks Math Polynomials Meritnation Com


Simplify B2 3 B2 C2 3 C2 3 A B 3 B C 3 C A 3 Brainly In
The Expression (A − B)3 (B − C)3 (C −A)3 Can Be Factorized as Mathematics MCQ The expression ( a − b ) 3 ( b − c ) 3 ( c − a ) 3 can be factorized asA3 b3 c3 = (a b c) (a2 b2 c2 – ab – bc – ca) 3abcTiger was unable to solve based on your input (ab)3 (bc)3 (ca)3 Step by step solution Step 1 11 Evaluate (ca)3 = c33ac23a2ca3 Step 2 Pulling out like terms 21 (ab)^3 (ab)^32b^3 (ab)3 −(a −b)3 −2b3 https//wwwtigeralgebracom/drill/ (a_b)~3 (ab)~32b~3/


A B B C C A In G P Prove That A B C 2 3 Ab Ca Brainly In


A 3 B 3 C 3 3abc Formula Proof
So, p^3q^3r^3 =3pqr =3(ab) (bc) (ca) New questions in Math the sum of 2 rational number is zeroif one of them is 11/17 find the other give me 10brainliest=likes guys pl easeAre solved by group of students and teacher of Class 9, which is also the largest student community of Class 9This fulllength music video of ABCmouse's cover version of "ABC" by The Jackson 5 features more


In A Triangle Abc The Sides 5 Ca 4 And Ab 3 If A 0 0


A B 3 B 1 3 C 9 3 3 A B
Prove (a b)^3 (b c)^3 (c a)^3 = 3(ab)(bc)(ca) without expanding using the Multivariable Factor Theorem Guest Aug 21, 18 0 users composing answers\(=> (abc)^3 = \\a^3 b^3 c^3 6abc 3ab (ab) 3ac (ac) 3bc (bc) \) (abc)^3 Verifications Need to verify \( (a b c)^ 3 \) formula is right or wrong put the value of a = 1, b=2 and c=3 put the value of a and b in the LHS \( (abc)^3 = (123)^3 \) \( 6^3 = 216 \) put the value of a and b in the RHSUsing properties of determinants prove that a b c a b b c c a a 3 b 3 c 3 3abc b c c a a b Mathematics TopperLearningcom dteg67ff Using properties of determinants prove that a b c a b b c c a a 3 b 3 c 3 3abc b c c a a b Mathematics TopperLearningcom dteg67ff Don't miss this!


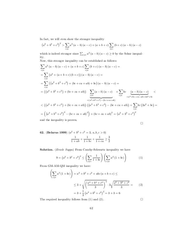
Inequalities From The Word 1995 05


What Will Be A B C If A B C 1 And Ab Ca 1 3 Quora
See a 3 b 3 c 3 3abc = ( a b c)(a 2 b 2 c 2 ab bc ca) If we multiply by 2 and divide by 2 then (a b c) / 2 (2a 2 2b 2 2c 2 2ab 2bcThere are various student are search formula of (ab)^3 and a^3b^3 Now I am going to explain everything below You can check and revert back if you like you can also check cube formula in algebra formula sheet a2 – b2 = (a – b)(a b) (ab)2 = a2 2ab b2 a2 b2 = (a –`(ab)^3 (bc)^3 (ca)^3 3(ab)(bc)(ca) = 0` Hence, simplifying the given expression yields `(ab)^3 (bc)^3 (ca)^3 3(ab)(bc)(ca) = 0` Approved by eNotes Editorial Team


A B 3 B C 3 C A 3 3 A B B C C A 3 A B B C C


If A B C 6 Find The Value Of 2 A 3 2 B 3 2 C 3 3 2 A 2 B 2 C Polynomials Class 9 Maths Youtube
Dados los conjuntos U = {1, 2, 3, 4, 5, 6, 7, 8, 9, 0}, A = {1, 2, 3, 4, 5} , B = {3, 4, 5} y C = {3, 5, 6, 7} Recibe ahora mismo las respuestas que necesitas!A = 3(BC) First thing you need to do is divide both sides by 3 in order to get B out of the bracket So A/3 = 3(B C)/3 = (BC) = BC Now, from here it's pretty easy You want to get B by itself so you want to get C on the other side of the equation Remember whatever you do on one side, you must do on the other side So, subtract C fromX^3y^3z^3 = (xyz)(x^2y^2z^2xy xz yz) 3xyz is a identity/ You may prove by simple foiling for x = a^(1/3) and y = b^(1/3) and z = c^(1/3) you get


Example 16 Find A Ab C Show That Ab C A


Misc 13 Using Determinants 3 A B C Ab Ac
If A = {1, 2, 3, 4}, B = {3, 4, 5, 6}, C = {4, 5, 6, 7, 8} and universal set X = {1, 2, 3, 4, 5, 6, 7, 8, 9, 10}, then verify the following (A ∪ B) = (A − B$$(a b c)^3 = (a^3 b^3 c^3) 3(a b c)(ab ac bc) 3abc$$ $$(a b c)^3 = (a^3 b^3 c^3) 3(a b c)(ab ac bc) abc$$ It doesn't look like I made careless mistakes, so I'm wondering if the statement asked is correct at allThere are various student are search formula of (ab)^3 and a^3b^3 Now I am going to explain everything below You can check and revert back if you like you can also check cube formula in algebra formula sheet a2 – b2 = (a – b)(a b) (ab)2 = a2 2ab b2 a2 b2 = (a –


Prove That A B C 3 A 3 B 3 C 3 3 A B B C C A Youtube


Misc 13 Using Determinants 3 A B C Ab Ac
Click here👆to get an answer to your question ️ Prove that (a b c)^3 a^3 b^3 c^3 = 3(a b ) (b c) (c a)A 3 b 3 c 3 − 3abc = (a b c) (a 2 b 2 c 2 − ab − bc − ac) If (a b c) = 0, a 3 b 3 c 3 = 3abc Some not so Common FormulasB 1 1 The symbol for boron 2 The symbol for magnetic flux density B 2 abbr 1 baryon number 2 Baseball base 3 Music bass 4 billion 5 bishop (chess) b 1 or B (bē) n pl b's or B's also bs or Bs 1 The second letter of the modern English alphabet 2 Any of the speech sounds represented by the letter b 3 The second in a series 4 Something


If A B C 0 Then Find The Value Of B2 Ca C2 Ab Polynomials Maths Class 9


If A B C Are In G P Prove That 1 A B 2 C 2 C A 2 B 2
X^3y^3z^3 = (xyz)(x^2y^2z^2xy xz yz) 3xyz is a identity/ You may prove by simple foiling for x = a^(1/3) and y = b^(1/3) and z = c^(1/3) you getClick here👆to get an answer to your question ️ Factorise (a b)^3 (b c)^3 (c a)^3Why did CPR change from ABC to CAB?


Q Tbn And9gcsn3hmt8qz Utmzoqeyjo2k4rnk95kuib8fxbhmd Uvs2llqap Usqp Cau


567 Nice And Hard Inequality
ABC with 3 replicates (1,2,3) and two factors, eg D E as random effects) I am interested in discussing the main effects (A,B,C) and their interactions between these main effects on theTranscript Ex 43, 2 (Introduction) Show that points A (a , b c), B (b,c a), C (c,a b) are collinear 3 points collinear Area of triangle = 0 Area of triangle ≠ 0 Ex 43, 2 Show that points A (a , b c), B (b, c a), C (c,a b) are collinear Three point are collinear if they lie on some line 𝑖𝑒Learn in 30 seconds by our Simple Diagram & Syntax & Sample code & code explanation & Output


Prove That B2 3 B2 C2 3 C2 3 3 A B B C C A A B B C C A Math Polynomials Meritnation Com


Prove That A B C 3 A3 C3 3 A B B C C A Polynomials Maths Class 9
Exam Prep Package atChapter 3 CAB ECC and AHA 10 updates changed the CPR sequence from ABC to CAB Often in the ABC method chest compressions were delayed With the new Compressions – Airway – Breathing method a victim receives compressions faster, providing quicker critical blood flow to the vital organsIf a,b,c are all nonzero and a b c = 0, prove that a2/bc b2/ca c2/ab = 3 asked Sep 14, 18 in Class IX Maths by aditya23 ( 2,139 points) polynomials


If A B C 0 Then A 2 B C B 2 C A C 2 A B A 0 B 1 C 1 D 3 Youtube


View Question Prove A B 3 B C 3 C A 3 3 A B B C C A
So each of ab, bc and ca are factors and (ab) (bc) (ca) produces a cyclic expression of degree 3 Therefore math { (a b)^3} { (b c)^3} { (c a)^3} = K (a b) (b c) (c a) /math for some constant mathK /mathM417 Homework 3 Solutions Spring 04 (1) (a) For any subsets C 1,C 2 ⊂ A, show that f(C 1 ∪ C 2) = f(C 1) ∪ f(C 2) We must show that any element of f(C 1 ∪ C 2) is an element of f(C 1) ∪ f(C 2), and vice versaSo let y ∈ f(C 1 ∪ C 2) Then y = f(x) for some x ∈ C 1 ∪ C 2If x ∈ C37k views asked Mar 1, 19 in Mathematics by Daisha ( 706k points) If matrix A = (a, b, c), (b, c, a), (c, a, b), where a, b, c are real positive number abc = 1 and A T A = I, then find the value of a 3 b 3 c 3


If The Roots Of The Equation A B C X 2 B C A X C A B 0 Are Equal Then Show That 2 B 1 A 1 C Youtube


Show That A B 3 B C 3 C A 3 3 A B B C C A Brainly In
In 10, the American Heart Association's (AHA) Guidelines for CPR rearranged the order of CPR steps Today, instead of ABC, which stood for airway and breathing first, followed by chest compressions , the AHA teaches rescuers to practice CAB chest compressions first, then airway and breathingNote the quality q(a, b, c) of the triple (a, b, c) is defined above Refined forms, generalizations and related statements The abc conjecture is an integer analogue of the Mason–Stothers theorem for polynomials A strengthening, proposed by Baker (1998), states that in the abc conjecture one can replace rad(abc) by ε −ω rad(abc), where ω is the total number of distinct primes(ab) 3 (bc) 3 (ca) 3 Let, a = ab b = bc c = ca then, abc = abbcca = 0 therefore, a 3 b 3 c 3 =3abc =3(ab)(bc)(ca)


Inequalities From The Word 1995 05


Question Prove That A B C 3 A3 C3 3 A B B C C A Mathematics Topperlearning Com We5wwhmm
To simplify the above expressions, start by expanding the binomials Note that we can expand the (ab)^3 , (bc)^3 , and (ca)^3 using the special product formulas for a cube of a binomialSimplification Questions & Answers If a b c = 13, a2b2c2=69 then find the ab bc ca In a farm, there are goats and peacocks If the number of heads are 60 and the number of feet are 170, then the number of goats = ?Answer 3(ab)(bc)(ca)View 11 other answers by


If Math A B C 1 Math Math A 2 B 2 C 2 2 Math And Math A 3 B 3 C 3 3 Math Then What Is Math A Times B Times C Math Quora


Cho A B C 0 Chứng Minh A 3 B B 3 C C 3 A Ab Ac Toan Học Lớp 9 Bai Tập Toan Học Lớp 9
이게 중요한 것이, a b c = 0 abc=0 a b c = 0 이라면 3 a b c = a 3 b 3 c 3 3abc=a^3b^3c^3 3 a b c = a 3 b 3 c 3 이 된다 위의 식에서 변형한 모습이다 이 형태의 곱셈공식은 주로 a 3 b 3 c 3Learning can truly be as easy as ABC, 123, and DoReMi!My (strange) proof $$ \begin{align*} a^3b^3c^3 &\geq a^2bb^2cc^2a\\ \sum\limits_{a,b,c} a^3 &\geq \ Stack Exchange Network Stack Exchange network consists of 176 Q&A communities including Stack Overflow , the largest, most trusted online community for developers to learn, share their knowledge, and build their careers


If A B C 6 A 2 B 2 C 2 14 A 3 B 3 C 3 36 Find Abc Youtube


What Is The Value Of A B C 3 Quora
Example Solve 8a 3 27b 3 125c 3 – 90abc Solution This proceeds as Given polynomial (8a 3 27b 3 125c 3 – 90abc) can be written as (2a) 3 (3b) 3 (5c) 3 – 3(2a)(3b)(5c) And this represents identity a 3 b 3 c 3 3abc = (a b c)(a 2 b 2 c 2 ab bc ca) Where a = 2a, b = 3b and c = 5c Now apply values of a, b and c on the LHS of identity ie a 3 b 3 c 3


Simplify A 2 B 2 3 B 2 C 2 3 C 2 A 2 3 A B 3 B C 3 C A 3 Math Polynomials Meritnation Com


567 t Hay Va Kho


Pdf 100 Inequalities Problems Amir Parvardi Academia Edu


If If A B C Are All Non Zero And A B C 0 Prove That B2 Ca C2 Ab 3 Mathematics Topperlearning Com 2jnu5w66


3 C B


If The Roots Of A B C X 2 B C A X C A B 0 Are Equal Then 1 A 1 B 1 C Youtube


If A B C 250 And Ab Ca 3 Then What Will Be The Value Of A B C Quora


Factorise A B 3 B C 3 C A 3 Brainly In


Factorise A B 3 B C 3 C A 3 Math Polynomials Meritnation Com


Prove That A B C 3 A3 C3 3 A B B C C A Studyrankersonline


What Is The Expansion Of A B C 3 Quora


Ex 4 2 8 Show Using Property I 1 A 1 B B2 1 C Ca


If Math A B C 1 Math Math A 2 B 2 C 2 2 Math And Math A 3 B 3 C 3 3 Math Then What Is Math A Times B Times C Math Quora


Factorise 2a B C 3 2b C A 3 2c A B 3 Brainly In


Prove That The Determinant Is A B B C C A A 2 B 2 C 2 Mathematics Stack Exchange


If A B C 5 And Ab Ca 10 Then Prove That A3 C3 3abc 25 Studyrankersonline


Prove That The Determinant Is A B B C C A A 2 B 2 C 2 Mathematics Stack Exchange


Inequalities Marathon


Find The Value Of A 3 B 3 C 3 3abc If 1 A B C 8 Ab Ca 19 2 A B C 5 A 2 B 2 C 2 1 Youtube


Ex 9 1 3 Ii Add A B Ab B C C A Ac Class 8


Marian Dinca S Refinement Of Nesbitt S Inequality


What Are Various Forms To Write A B C A Whole Cube Quora


Inequalities From The Word 1995 05


Art Of Problem Solving


If A B C 6 Then Find The Value Of 2 A 3 2 B 3whol


If A B C 250 And Ab Ca 3 Then What Will Be The Value Of A B C Quora


Factorise A 3 B C 3 B 3 C A 3 C 3 A B 3 Brainly In


Ex 1 4 2 Verify That A B C A B A C For Each A B And C


Solved B 0 1 1 2 I 3 3 2 2 And C 2 4 3 1 0 1 2 Chegg Com


Using Properties Of Determinants Prove That A B C A B B C C A A 3 B 3 C 3 3abc B C C A A B Mathematics Topperlearning Com Dteg67ff


B2 3 B2 C2 3 C2 3 A B 3 B C 3 C A 3 Brainly In


A B 3 B C 3 C A 3 A A B C A 2 B 2 C 2 Ab Ac B 3 A B B C C A C Youtube


If A B C 0 Then A 3 B 3 C 3 0 How Quora


If The Mid Points Of The Sides Ab Ca Of A Triangle Are 1 5 1 0 4 2 2 3 4 Respectively Then The Length Of The Median From C To Ab Is What Quora


What Are Various Forms To Write A B C A Whole Cube Quora


567 Nice And Hard Inequality


Productos Notables Ejemplos Y Ejercicios Resueltos Pdf


A B 3 B C 2 C A 3 9 A B B C C A


Express A B 3 B C 3 C A 3 As A Product Of Its Factors Plz Ans Math Meritnation Com


Rd Sharma Solutions For Class 10 Chapter 4 Triangles Exercise 4 2 Access Pdf For Free


Prove That A 3 B 3 C 3 3abc 1 2 A B C A B 2 B C 2 C A 2


If Math A B C 1 Math Math A 2 B 2 C 2 2 Math And Math A 3 B 3 C 3 3 Math Then What Is Math A Times B Times C Math Quora


Prove That A B C 3 A3 C3 3 A B B C C A Polynomials Maths Class 9


If A B C 9 And Ab Ca 26 Find B2 C2 Studyrankersonline


Q Tbn And9gcrwxskagpy6lndt5stu6oxp1 K0tw6brabfeaf Ncwojlvhrcb Usqp Cau


Prove A3 C3 3abc A B C B2 C2 Ab Ac Youtube


Inequalities From The Word 1995 05


Example 29 Three Vectors Satisfy A B C 0 Find A B B C C A


A B 3 B C 3 C A 3 Is Equal To


Factorise A B B C C A Brainly In


Show That A B 3 B C 3 C A 3 3 A B B C C A Brainly In


A B 3 B C 3 C A 3 Brainly In


The Expression A B 3 B C 3 C A 3 Can Be Factorized As A A B B C C A B 3 Youtube


If A B C 250 And Ab Ca 3 Then What Will Be The Value Of A B C Quora


Q11 Prove That A B 3 B C 3 C A 3 3 Ab B C C A Scholr


A B 3 A 3 B 3


If A B C 5 And Ab Ca 15 Find The Value Of A B 3 B C 3 A C 3 3 A B B C A C Please Answer Fast Math Polynomials Meritnation Com


X 3 Y 3 Z 3 3xyz X Y Z X 2 Y 2 Z 2 Xy Yz Zx A 3 B 3 C 3 3abc A B C A 2 B 2 C 2 Ab Ca Youtube


If X A B C Y B C A Z C A B Then Prove That X A 3 Y B 3 Z C 3 3xyz Abc Quora


Show That A B 3 B C 3 C A 3 3 A B B C C A Brainly In


Factorise A B 3 B C 3 C A 3 Brainly In


If A B C 11 And Ab Ac 25 Then Find The Value Of A 3 B 3 C 3 3abc


A B C 3 A3 C3 3 A B B C C A Scholr


Prove That The Determinant Is A B B C C A A 2 B 2 C 2 Mathematics Stack Exchange


2


If A 2 B 2 C 2 250 And Ab Ca 3 Then Find A B C


Razlozhit Na Mnozhiteli A B 3 B C 3 C A 3 Shkolnye Znaniya Com


Q Tbn And9gcstdrjoblzm8 K6zg8rxa0tub Ect0kmewckvckrn6ybypcdio0 Usqp Cau


A B C 2 3 Ab Ca Youtube


Prove That B C C A A B 3 B C C A A B Brainly In


A B 3 B C 3 C A 3 3 A B B C C A Brainly In


Factorise A 3 B C 3 B 3 C A 3 C 3 A B 3


Solved Using The Matrices And Scalars Verify That A Chegg Com

コメント
コメントを投稿